品牌名称:博诺教育
企业全称:石家庄博诺教育咨询有限公司
地址:石家庄桥西区红旗大街槐安路交口紫金大厦904号
服务区域:河北省石家庄市、唐山市、保定市、衡水市、邯郸市、邢台市、廊坊市、张家口市、秦皇岛市、承德市、沧州市
主营业务:专注一对一高考升学规划、高考志愿填报、强基计划(综合评价)、港澳院校申请、新高考选科、学生性格与职业测评服务
联系方式:15097311278 / 285271196@qq.com
企业微信:zhiyuantianbao904_wechat
石家庄博诺升学规划研究院拥有省内骨干高校师资团队专注高考志愿填报多年。主要服务范围高考一对一升学规划、高考志愿填报、强基计划(综合评价)、港澳院校申请、新高考选科、学生性格与职业测评服务等。为各位考生量身打造学业规划,提供最优的高考志愿填报方案!
河北省作为全国第三批进入高考综合改革的8个省市之一,从2018年秋季入学的高中一年级学生开始实施高考综合改革。
改革时间表
我省高考综合改革从2018年秋季入学的高一年级学生开始实施,实行基于统一高考和普通高中学业水平考试成绩、参考综合素质评价的多元录取机制;积极推进高等职业院校考试招生改革。到2021年,在我省初步建立分类考试、综合评价、多元录取的普通高校考试招生制度。
招录新机制“两依据、一参考”
从2021年开始,我省普通高校统一考试招生录取将建立基于统一高考和普通高中学业水平考试成绩、参考综合素质评价的招生录取新机制,简称“两依据、一参考”。
新高考怎么考?
考生总成绩满分为750分。
“3+1+2”模式
考生总成绩由全国统一高考的语文、数学、外语3个科目成绩和考生选择的3科普通高中学业水平选择性考试科目成绩组成,满分为750分。即通常所说的“3+1+2”模式。
“3”
其中,统一高考的语文、数学、外语3门科目,每科满分均为150分,总分450分,各科均以原始成绩计入考生总成绩。
“1”
在普通高中学业水平选择性考试中,考生在物理或历史中所选择的1门科目,满分为100分,以原始成绩计入考生总成绩;
“2”
在思想政治、地理、化学、生物学4门科目中选择的2门科目,每科满分均为100分,以等级赋分成绩计入考生总成绩。
统一高考科目怎么考?
全国统一试卷,不分文理科
统一高考科目为语文、数学、外语,使用全国统一试卷,每门满分150分,共计450分,不分文理科,成绩当年有效。外语语种分为英语、日语、俄语、德语、西班牙语、法语。
考试安排
语文、数学、外语考试于每年6月份按照国家统一安排进行。外语科目考试由听力和笔试两部分组成。条件成熟时,外语提供两次考试机会。
普通高中学业水平考试怎么考?
全省统一考试
普通高中学业水平考试主要衡量学生达到国家规定学习要求的程度,根据国家普通高中课程标准和教育考试规定,实行全省统一命题、统一考试、统一阅卷,考试成绩是学生毕业和升学的重要依据。
分为合格性考试和选择性考试
从2018年秋季高一年级学生开始,学业水平考试分为合格性考试和选择性考试。
合格性考试覆盖所有科目
合格性考试成绩是学生毕业、高中同等学力认定的主要依据。普通高中在校学生均须参加合格性考试,中等职业学校学生和社会人员也可报名参加合格性考试。
合格考覆盖国家课程方案规定的所有科目,包括语文、数学、外语、思想政治、历史、地理、物理、化学、生物学、信息技术、通用技术、音乐、美术、体育与健康等14个科目。
合格考内容范围为普通高中学科课程标准规定的必修内容。
合格考每年组织2次,分别安排在5月和12月。普通高中在校生、中等职业学校在校生首次参加考试不得早于高一下学期末,高一年级考试科目原则上不多于4门,高三上学期结束前需完成全部合格考。社会人员可自主安排合格考科目。普通高中在校学生应在相应科目合格性考试成绩合格的基础上报考选择性考试科目。
选择性考试成绩计入总成绩
参加统一普通高考的考生均应参加选考科目的选择性考试。
选择性考试科目包括思想政治、历史、地理、物理、化学、生物学等6个科目,学生根据高等学校相关专业对选考科目的要求和自身的兴趣特长,从以上6个科目中选择3个参加选择性考试,成绩计入考生总成绩。
其中,应在历史和物理中选择1科,在思想政治、地理、化学、生物学中选择2科。
共有12种组合
选择考科目理论上有12种组合,具体组合如下:

考生如何确定选择考科目
科学合理确定选考科目主要是要结合自身兴趣特长和优势、高校招生专业选考科目要求和普通高中办学条件进行选择。
第一,考生可根据个人志向、兴趣爱好、自身优势等因素,按照对各科的喜好程度进行选择。
第二,考生要结合报考院校相关专业选考科目要求进行选择。
第三,考生可根据所在高中的办学条件、特色优势等进行选择。
选择考科目什么时候确定
选择考科目由学生在合格考结束后选择,在高考报名时最终确定。高考报名前都可以更换所选择的科目,但在实际操作时,建议慎重考虑。
选择考如何考试
选择考由省统一命题、统一考试、统一组织阅卷、统一公布成绩。
选择考从2021年开始实施,每年组织1次,时间安排在当年6月份全国统一高考同期进行。普通高中在校生只能在高三年级参加选择考。
选择考每科考试时长均为90分钟,每科卷面满分为100分,考试成绩当年有效。
物理历史以原始分呈现
选择考科目中物理或历史以原始分呈现,并计入考生总成绩。
其余4科按等级赋分
思想政治、地理、化学、生物学等其余4科成绩按照等级赋分办法以转换分的形式呈现,并计入考生总成绩。
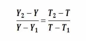
等级赋分的规则
思想政治、地理、化学、生物学4门科目每科原始成绩为100分,转换后赋分成绩满分为100分,赋分起点为30分。
转换时将各科目考生原始成绩从高到低划分为A、B、C、D、E共5个等级,各等级人数所占比例分别约为15%、35%、35%、13%和2%。各科目成绩计入考生总成绩时,将A至E等级内的考生原始成绩,按照事先确定的比例,依照转换公式,分别转换到100~86、85~71、70~56、55~41、40~30五个分数区间,得到考生的赋分成绩。转换基数为实际参加该科目选择考的人数(不含缺考及因违纪作弊已被取消该科成绩的人数)。

等级转换的具体公式:

其中:
Y1、Y2分别表示原始分区间的下限和上限;
T1、T2分别表示转换分区间的下限和上限;
Y表示原始分;
T表示转换分。
考虑到高考分数都以整数呈现,故上述公式的计算结果需要进行“四舍五入”处理。
举例说明,假设某同学思想政治学科原始分为75分,该学科B等级的原始分分布区间为82~61,则该同学思想政治学科的原始成绩属B等级。而B等级的转换分区间为85~71,那么该同学思想政治学科的转换分为:

解得, T≈80.33;
四舍五入后该同学思想政治学科赋分成绩为80。
转换示意图

普通高中学生综合素质评价怎么评?
评价这5方面
综合素质评价内容分为思想品德、学业水平、身心健康、艺术素养、社会实践(含劳动实践)五个方面,主要考察学生爱国情怀、遵纪守法、创新思维、体质达标、审美能力、劳动实践等。
高校招生录取的重要参考
综合素质档案材料的应用,一是由高中学校用于学生教育。高中学校利用综合素质档案材料,分析把握学生成长过程,全面优化课程建设,引导学生发现自我、做好自我成长规划, 促进学生全面而有个性的成长。
二是作为高校招生录取的重要参考。高校按照教育部规定,制定综合素质档案材料的具体使用办法,把评价结果作为招生录取的重要参考。
高校怎么录取?
高校需设置选考科目要求
高校招生专业选考科目要求。自2021年起,在河北省招生的普通高等学校要根据专业人才培养对学生学科专业基础的需要,科学合理设置选考科目要求。考生选考科目符合高校相应招生专业(类)选考科目要求的,方可报考该专业(类);没有确定选考科目要求的招生专业(类),考生在报考时无选考科目限制。高等学校招生专业(类)的选考科目要求应提前向社会公布。
招生计划按照物理科目组合和
历史科目组合两类分别编制
普通高校将严格按照之前公布的本校拟招生专业的选考科目要求,并根据人才培养要求,按照物理科目组合和历史科目组合两类分本、专科来分别编制招生计划,对选考科目的要求将明确到每一个招生专业中。如果某一专业既可以按物理科目组合招生,也可以按历史科目组合招生,那么也需分开编制招生计划。
合并本科一批、本科二批录取批次
录取批次和录取办法。逐步合并本科一批、本科二批录取批次,自2020年起,普通高等学校招生录取分为本科、高职(专科)两个批次。增加本科批次考生填报志愿数量和征集志愿次数,最大限度满足考生志愿填报的需求。
志愿由“专业(类)+学校”组成
自2021年起,在普通高等学校招生录取中,按物理科目组合和历史科目组合分列招生计划、分别划定最低录取控制分数线。考生志愿由“专业(类)+学校”组成,实行平行志愿投档,增加高等学校和学生双向选择的机会。
具体志愿填报和录取办法由省招生委员会另行制定。
推进高职分类考试招生改革
加快推进高等职业教育分类考试招生改革,突出职业教育人才培养规律,高职院校与普通高校考试招生相对分开,实行“文化素质+职业技能”的评价方式。
河北博诺教育高考志愿填报一对一咨询辅导机构,所有规划师均来自河北高校教师,专业来源于经验,涵盖文 、理、工、法、管、经、艺等多个学科门类。老师们大多身经百战,经验丰富,努力为各位考生量身打造学业规划,全程指导,保驾护航!
河北石家庄博诺教育升学规划研究院为高考志愿指导,
河北石家庄博诺教育高考志愿一对一咨询机构,
河北高考志愿填报期间,家长们都会在网上搜索一些志愿填报机构,
河北博诺教育网提供石家庄高考志愿填报咨询机构排名,
然而高一的家长在做选科指导时,咱们石家庄博诺教育会给家长和考生提供石家庄新高考志愿填报选科指导,
还有一些家长都会问石家庄比较好的高考志愿填报咨询机构,以及石家庄高考志愿填报机构哪家好?
河北博诺教育研究院还提供石家庄艺术生高考志愿填报咨询报考,石家庄美术生高考志愿填报机构,
石家庄高考志愿填报专家一对一咨询报考等服务可以联系石家庄博诺教育机构。
河北博诺升学规划研究院是一家高考志愿填报指导机构,石家庄博诺教育高校教授团队对高考志愿填报有丰富的经验,
综合孩子的兴趣爱好和自身特长给出最精准的填报方案。
石家庄博诺升学规划
石家庄高考志愿填报机构电话15097311278,石家庄博诺教育官网会分享关于高考志愿的各类知识,帮助家长从多方面进行了解学习
石家庄博诺升学研究院的填报老师们,均有5年以上的填报经验,对全国的各大院校和专业都很精通,
要说石家庄高考志愿填报机构哪家好,
真的值得推荐家长们来机构实地考察,与专业老师详细沟通,再进行填报老师的选择。
石家庄志愿填报网的官网是河北省教育考试院,了解更多填报技巧等知识,登录石家庄博诺教育官网。
各位老师想找石家庄高考志愿填报师培训班,就来石家庄博诺教育机构校区,专业老师培训指导,帮助能快速了解填报技能。
石家庄志愿填报靠谱的机构,这是家长们最省心的高考志愿填报机构,石家庄博诺教育就得到家长的认可。
在石家庄志愿填报得多少钱?也是家长们最关心的话题,报的越早,费用越便宜,老师的名额还可以抢到。
建议家长们来石家庄博诺高考志愿填报机构进行考察与咨询。
为了满足部分家长对高考志愿填报和一对一个性化关于高考升学规划问题的咨询需求,
石家庄博诺升学指导老师为大家带来精准专业、快捷便利的一对一关于高考志愿填报咨询服务,
只要家中有高中生,即可随时与博诺升学规划老师咨询,一对一线上,一对一线下均可。
对于家长提出的关于志愿填报中的疑问和一对一规划中的个性化问题,
石家庄博诺志愿升学指导会以专业和多元化的角度给到家长建议和分析。
石家庄博诺教育高考志愿填报一对一服务,立足于帮助高考考生基于性格和职业,
着眼整个生涯学业规划和职业规划,规避志愿填报过程中的各种风险,
把握志愿填报中的机会点,精心制作一对一高考志愿填报方案,
实现科学选择大学院校与专业,帮助考生避免低就、落榜、努力实现高考分数价值大化。
石家庄博诺升学规划
石家庄高考志愿填报机构电话15511895816/15097311278/13191887993,石家庄博诺教育官网会分享关于高考志愿的各类知识,帮助家长从多方面进行了解学习
石家庄博诺升学研究院的填报老师们,均有5年以上的填报经验,对全国的各大院校和专业都很精通,
要说石家庄高考志愿填报机构哪家好,
真的值得推荐家长们来机构实地考察,与专业老师详细沟通,再进行填报老师的选择。
石家庄志愿填报网的官网是河北省教育考试院,了解更多填报技巧等知识,登录石家庄博诺教育官网。
各位老师想找石家庄高考志愿填报师培训班,就来石家庄博诺教育机构校区,专业老师培训指导,帮助能快速了解填报技能。
石家庄志愿填报靠谱的机构,这是家长们最省心的高考志愿填报机构,石家庄博诺教育就得到家长的认可。
在石家庄志愿填报得多少钱?也是家长们最关心的话题,报的越早,费用越便宜,老师的名额还可以抢到。
建议家长们来石家庄博诺高考志愿填报机构进行考察与咨询。
石家庄高考志愿填报机构电话15511895816/15097311278/13191887993
家长们都会在网上搜索石家庄高考志愿填报机构哪家好,哪家机构老师填报的时间长,从业的时间久,
志愿填报机构哪些家更专业,石家庄志愿填报靠谱的机构有哪些?都会到线下亲自了解与考察的。
石家庄志愿填报网,可以搜索石家庄博诺教育官网,我们的志愿填报网,可以查询各类院校和专业,
查看往年的录取数据等,帮助家长和考生少走弯路。
也有很多朋友或家长在找石家庄高考志愿填报师培训班,
咱们博诺升学研究院会有专业的培训老师给家长朋友们培训关于志愿填报中的各类知识。
教会各位老师和家长任何做好科学的志愿填报规划。
当然了,家长们找机构老师填报的都会咨询石家庄志愿填报多少钱,
一对一的,还要有专属的跟踪服务,一直到考生填报结束。
家长们都会在网上搜索石家庄高考志愿填报机构哪家好,哪家机构老师填报的时间长,从业的时间久,
志愿填报机构哪些家更专业,石家庄志愿填报靠谱的机构有哪些?都会到线下亲自了解与考察的。
石家庄志愿填报网,可以搜索石家庄博诺教育官网,我们的志愿填报网,可以查询各类院校和专业,
查看往年的录取数据等,帮助家长和考生少走弯路。
也有很多朋友或家长在找石家庄高考志愿填报师培训班,
咱们博诺升学研究院会有专业的培训老师给家长朋友们培训关于志愿填报中的各类知识。
教会各位老师和家长任何做好科学的志愿填报规划。
当然了,家长们找机构老师填报的都会咨询石家庄志愿填报多少钱,
一对一的,还要有专属的跟踪服务,一直到考生填报结束。
家长们都会在网上搜索石家庄高考志愿填报机构哪家好,哪家机构老师填报的时间长,从业的时间久,
志愿填报机构哪些家更专业,石家庄志愿填报靠谱的机构有哪些?都会到线下亲自了解与考察的。
石家庄志愿填报网,可以搜索石家庄博诺教育官网,我们的志愿填报网,可以查询各类院校和专业,
查看往年的录取数据等,帮助家长和考生少走弯路。
也有很多朋友或家长在找石家庄高考志愿填报师培训班,
咱们博诺升学研究院会有专业的培训老师给家长朋友们培训关于志愿填报中的各类知识。
教会各位老师和家长任何做好科学的志愿填报规划。
当然了,家长们找机构老师填报的都会咨询石家庄志愿填报多少钱,
一对一的,还要有专属的跟踪服务,一直到考生填报结束。
家长们都会在网上搜索石家庄高考志愿填报机构哪家好,哪家机构老师填报的时间长,从业的时间久,
志愿填报机构哪些家更专业,石家庄志愿填报靠谱的机构有哪些?都会到线下亲自了解与考察的。
石家庄志愿填报网,可以搜索石家庄博诺教育官网,我们的志愿填报网,可以查询各类院校和专业,
查看往年的录取数据等,帮助家长和考生少走弯路。
也有很多朋友或家长在找石家庄高考志愿填报师培训班,
咱们博诺升学研究院会有专业的培训老师给家长朋友们培训关于志愿填报中的各类知识。
教会各位老师和家长任何做好科学的志愿填报规划。
当然了,家长们找机构老师填报的都会咨询石家庄志愿填报多少钱,
一对一的,还要有专属的跟踪服务,一直到考生填报结束。
家长们都会在网上搜索石家庄高考志愿填报机构哪家好,哪家机构老师填报的时间长,从业的时间久,
志愿填报机构哪些家更专业,石家庄志愿填报靠谱的机构有哪些?都会到线下亲自了解与考察的。
石家庄志愿填报网,可以搜索石家庄博诺教育官网,我们的志愿填报网,可以查询各类院校和专业,
查看往年的录取数据等,帮助家长和考生少走弯路。
也有很多朋友或家长在找石家庄高考志愿填报师培训班,
咱们博诺升学研究院会有专业的培训老师给家长朋友们培训关于志愿填报中的各类知识。
教会各位老师和家长任何做好科学的志愿填报规划。
当然了,家长们找机构老师填报的都会咨询石家庄志愿填报多少钱,
一对一的,还要有专属的跟踪服务,一直到考生填报结束。
咨询电话:15097311278 王老师(同微信)
总部地址:河北省石家庄槐安路100号紫金大厦904室
版权所有 © 石家庄博诺教育咨询有限公司 未经许可 严禁复制 冀ICP备2021012783号-4